En dinámica de fluidos, la ecuación de flujo de tubería más utilizada es Ecuación de Darcy-Weisbach Prescribe la pérdida de la cabeza hf Hacerse:
Aquí, “L” es la longitud de la tubería.
“D” es el diámetro de la tubería en el interior.
“V” es la velocidad promedio del fluido,
‘f’ es el coeficiente de fricción de Moody (coeficiente de fricción de Darcy Weisbach), que es un coeficiente adimensional que es una función de alguna cantidad adimensional.
donde (ρV D/μ) es Número de Reynolds Re, y
“ε” es la rugosidad superficial específica del material de la tubería.
La tabla de fricción de Moody (coeficiente de fricción vs. número de Reynolds) es la forma más conveniente de obtener el valor del coeficiente de fricción de Moody “f”. para Flujo de tubería de flujo laminar (El número de Reynolds R es menor que 2000), f = 64/R; porque la pérdida de carga R en el flujo laminar es independiente de la rugosidad de la pared.
Si el conducto o tubería no es un área de sección transversal circular, entonces el diámetro hidráulico equivalente DPor el momento Como se definió anteriormente, se utiliza para calcular la pérdida de carga o el coeficiente de fricción.
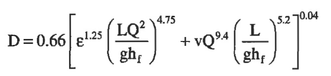
Puede utilizar la fórmula empírica Swamee-Jain para calcular directamente el diámetro del diseño de la tubería. La relación es la siguiente:
Aquí, el diámetro hidráulico “D” es una función de:
altura de rugosidad ‘ε’ (m, pies),
Caudal volumétrico “Q” (m3/s, pies3/s)、
longitud «L» (m, pies),
velocidad «v» (m/s, ft/s),
La constante gravitacional ‘g’ es (m/s2, pies por segundo2), y
Pérdida de cabeza ‘hf‘, (m, ft).

Gráfico de coeficiente de fricción de Moody: coeficiente de fricción versus número de Reynolds. Fuente de la imagen: pipeflow.com

